Heru Wiryanto
6 Jul 2025

Wireless QEEG
Pendahuluan
Fungsi eksekutif otak mencakup berbagai kemampuan kognitif tingkat tinggi, seperti perhatian terarah, pengendalian impuls, pengambilan keputusan, memori kerja, dan perencanaan jangka panjang. Fungsi-fungsi ini terutama dijalankan oleh area prefrontal cortex (PFC), yaitu bagian depan otak yang bertanggung jawab atas pengendalian diri dan regulasi perilaku sadar. Dalam beberapa dekade terakhir, penggunaan elektroensefalogram nirkabel atau wireless EEG (wqEEG)telah menjadi pendekatan yang semakin populer untuk mengakses aktivitas otak secara real-time dalam kondisi alami. Melalui proses matematis yang disebut Fast Fourier Transform (FFT), sinyal EEG yang direkam dari waktu ke waktu diubah menjadi spektrum frekuensi yang lebih mudah dianalisis dan diinterpretasikan. FFT berperan penting dalam mengungkap dinamika aktivitas otak yang berkaitan langsung dengan fungsi eksekutif.
Akuisisi dan Karakteristik Data
Pengambilan data EEG yang relevan dengan fungsi eksekutif biasanya dilakukan dengan merekam aktivitas listrik di area frontal otak, khususnya pada titik-titik seperti F3, F4, AF3, AF4, dan Fz. Lokasi-lokasi ini mewakili wilayah prefrontal cortex yang menjadi pusat kendali berbagai aspek eksekutif. Pengukuran bisa dilakukan dalam keadaan istirahat (resting state), baik dengan mata tertutup maupun terbuka, atau saat individu menjalankan tugas-tugas kognitif spesifik seperti Stroop Test, Go/No-Go Task, atau N-back Task. Sinyal EEG yang dihasilkan biasanya terekam dalam format time-series dengan laju sampling antara 128 hingga 1024 Hz, tergantung jenis perangkat. Sinyal ini sangat rentan terhadap gangguan (noise) dari gerakan otot, mata, atau sumber eksternal lainnya, sehingga memerlukan tahapan pra-pemrosesan sebelum dapat dianalisis lebih lanjut.
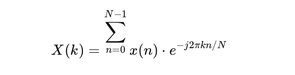
Transformasi Sinyal: Dari Waktu ke Frekuensi
Setelah melalui tahapan awal berupa bandpass filtering untuk menghilangkan frekuensi di luar rentang fisiologis otak (biasanya 0.5 hingga 50 Hz), sinyal EEG dibagi ke dalam segmen waktu kecil (disebut epoch), umumnya berdurasi 1 hingga 2 detik. Setiap segmen ini kemudian dianalisis menggunakan FFT. Transformasi Fourier ini menghitung komponen frekuensi dari sinyal waktu, sehingga setiap titik sinyal dapat direpresentasikan sebagai kombinasi sinyal sinusoidal dari berbagai frekuensi. Formula yang digunakan :

FFT Formula
Hasil dari transformasi ini adalah spektrum frekuensi yang menggambarkan amplitudo atau kekuatan relatif dari tiap-tiap gelombang otak, mulai dari delta (0.5–4 Hz), theta (4–8 Hz), alpha (8–13 Hz), beta (13–30 Hz), hingga gamma (>30 Hz).
Interpretasi Output FFT dalam Konteks Fungsi Eksekutif
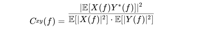
Dari spektrum frekuensi hasil FFT, sejumlah fitur penting dapat dihitung untuk menilai kondisi fungsi eksekutif otak. Salah satunya adalah absolute power, yaitu jumlah energi listrik pada tiap pita frekuensi. Absolute power dari gelombang beta yang tinggi di area prefrontal sering kali dikaitkan dengan aktivitas mental intensif dan fokus kognitif, Formula yang digunakan : Jumlah energi (kuadrat amplitudo) dalam masing-masing band frekuensi:

Formula Koherensi
Aplikasi dan Implikasi
Melalui analisis spektral berbasis FFT terhadap data wEEG, peneliti dan praktisi kini dapat mengakses biomarker objektif untuk menilai fungsi eksekutif. Teknologi ini telah diaplikasikan dalam berbagai bidang, mulai dari asesmen neuropsikologis, pelatihan kognitif berbasis neurofeedback, hingga pengembangan antarmuka otak-komputer (BCI). Dalam konteks neurofeedback, misalnya, individu dapat dilatih untuk meningkatkan aktivitas beta di prefrontal cortex atau menurunkan rasio theta/beta guna meningkatkan fokus dan pengendalian diri. Selain itu, hasil FFT dapat menjadi dasar untuk personalisasi intervensi neurokognitif, memungkinkan pendekatan yang lebih presisi sesuai dengan profil fungsi otak masing-masing individu.
Penutup
Fast Fourier Transform memainkan peran krusial dalam mengubah data EEG menjadi informasi bermakna yang relevan dengan fungsi eksekutif otak. Dengan mengevaluasi absolute power, relative power, rasio antar gelombang, serta koherensi antar wilayah otak, kita dapat memperoleh gambaran menyeluruh mengenai kapasitas regulasi diri, perhatian, dan kendali impuls seseorang. Dalam era neuroteknologi yang berkembang pesat, integrasi antara metode analitik seperti FFT dan sistem perekaman EEG nirkabel membuka jalan bagi pemantauan dan peningkatan fungsi otak yang lebih mudah diakses, akurat, dan berbasis data.





